Atmosphere#
import matplotlib.pyplot as plt
from typhon import plots
import konrad
plots.styles.use('typhon')
In the introduction we have already learned how to initialize an atmopshere component.
plev, phlev = konrad.utils.get_pressure_grids(1000e2, 1, 128)
atmosphere = konrad.atmosphere.Atmosphere(phlev)
The atmosphere component is used to prescribe the gaseous composition of our model. For example, we can remove all ozone from our model column
atmosphere["O3"][:] = 0.0
Next, we can compile and run our RCE simulation
rce = konrad.RCE(
atmosphere,
surface=konrad.surface.FixedTemperature(temperature=288.), # Run with a fixed surface temperature.
timestep='12h', # Set timestep in model time.
max_duration='100d', # Set maximum runtime.
)
rce.run() # Start the simulation.
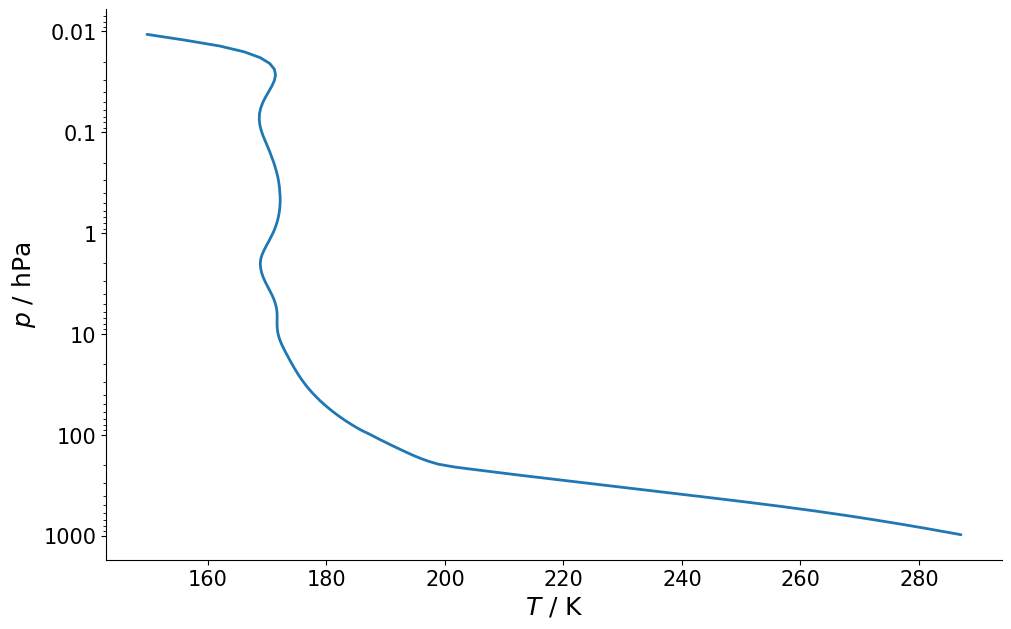
Finally, we can plot the equilibrated temperature profile
fig, ax = plt.subplots()
plots.profile_p_log(rce.atmosphere['plev'], rce.atmosphere['T'][-1, :])
ax.set_xlabel(r"$T$ / K")
ax.set_ylabel("$p$ / hPa")
Text(0, 0.5, '$p$ / hPa')
